日前,贵州理工学院人工智能与电气工程学院张克声教授在期刊Applied Acoustics上发表了题为《可激发气体中依赖于频率的声弛豫吸收的三频点声速值合成方法》(Synthesizing the frequency-dependent sound relaxational absorption by three-frequency sound speeds in excitable gases)的研究论文。

论文截图
实时精确测量可激发气体中的声弛豫吸收仍是一项具有挑战性的工作。通过推导有效压缩系数与声弛豫过程之间的关系,提出一个利用三频点上声速平方测量值重建声弛豫吸收谱的合成方法。首先,利用两频点上测量的声速频散高、低频极限值计算得到弛豫强度;其次,利用弛豫强度显著频率范围内的第三个频点上的声速测量值计算得到绝热定压弛豫时间;最后,通过合成的归一化高频有效绝热系数的实部和虚部重建依赖于频率的声速平方频散谱和声弛豫吸收谱。在包含CH4、CO2、CL2和N2多种气体中,仿真结果与实测结果相符,证明了该方法的有效性.实现了在单一压强下以易于实时精确测量的三频点上声速值计算得到难以实时精确测量的声弛豫吸收谱,从而为探测气体分子微观特性提供了一种更为简易和经济的声学方法。

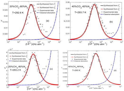
室温下不同比例N2-CO2和N2-CH4混合气体中由三频点声速值合成的声弛豫吸收谱与Ejakov实测数据(圆圈)的对比。实线:从高频声速平方的角度合成的声弛豫吸收谱;十字点线:从低频声速平方的角度合成的声弛豫吸收谱;点划线:经典吸收谱。 (a) 20%CO2-80%N2;(b) 40%CO2-60%N2;(c) 20%CH4-80%N2; (d) 40%CH4-60%N2。